J Cancer 2023; 14(7):1159-1160. doi:10.7150/jca.85287 This issue Cite

Erratum

High Expression of RhoF Predicts Worse Overall Survival: A Potential Therapeutic Target for non-M3 Acute Myeloid Leukemia: Erratum

Yue Hou, Jie Zi, Zheng Ge Corresponding address

Department of Hematology, Zhongda Hospital, Medical School of Southeast University, Institute of Hematology Southeast University, Nanjing 210009, China

Published 2023-4-29

Citation:
Hou Y, Zi J, Ge Z. High Expression of RhoF Predicts Worse Overall Survival: A Potential Therapeutic Target for non-M3 Acute Myeloid Leukemia: Erratum. J Cancer 2023; 14(7):1159-1160. doi:10.7150/jca.85287. https://www.jcancer.org/v14p1159.htm
Other styles

File import instruction

Corrected-article in J Cancer, Volume 12, 5530

 

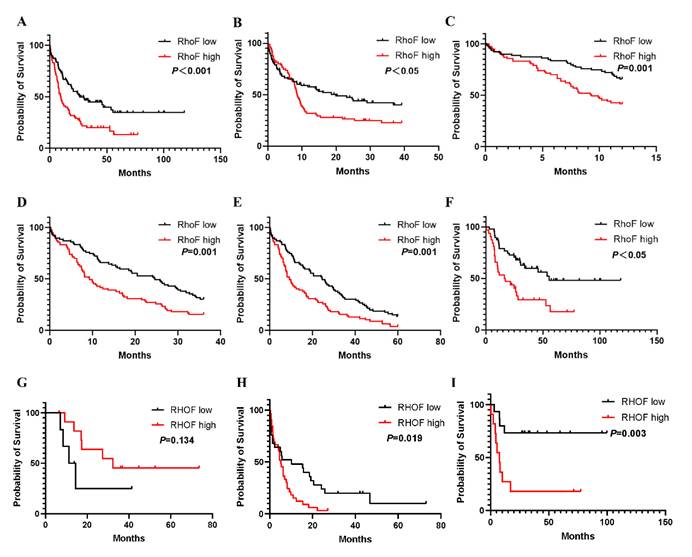
In the initially published version of our article, we found that there are the errors in Figure 5. Specifically, the survival curve of Figure 5B and 5F are incorrect. The errors occurred during assembling the figures. The correct Figure 5 is provided below. This correction will not affect the results and conclusions. The authors apologize for any inconvenience this may cause.

 Figure 5 

Overall survival of AML patients grouped by RhoF median cutoff in TCGA database (Acute Myeloid Leukemia, NEJM 2013, n=157) [24](A) and GSE12417 (n=162) (B). 1-year (C), 3-year (D) and 5-year (E) overall survivals comparison between high and low RhoF groups in TCGA database (Acute Myeloid Leukemia, NEJM 2013, n=157)[24]. (F) Overall survival of patients < 60 years of age with RhoF high versus RhoF low in TCGA database (Acute Myeloid Leukemia, NEJM 2013, n=80)[24]. (G) Overall survival of patients > 60 years of age receiving transplant with RhoF high versus RhoF low in TCGA database (Acute Myeloid Leukemia, NEJM 2013, n=18)[24]. (H) Overall survival of patients > 60 years of age receiving intensive chemotherapy with RhoF high versus RhoF low in TCGA database (Acute Myeloid Leukemia, NEJM 2013, n=59)[24]. (I) Overall survival of patients < 60 years of age receiving intensive chemotherapy with RhoF high versus RhoF low in TCGA database (Acute Myeloid Leukemia, NEJM 2013, n=26)[24].

J Cancer Image

Author contact

Corresponding address Corresponding author: Zheng Ge, M.D., Ph.D., Department of Hematology, Zhongda Hospital Medical School of Southeast University, Institute of Hematology Southeast University, No. 87, Dingjiaqiao, Gulou District, Nanjing 210009, Jiangsu, China. Telephone: 86-25-83262468; FAX: 86-25-83262471; E-mail: Janege879com


Citation styles

APA
Hou, Y., Zi, J., Ge, Z. (2023). High Expression of RhoF Predicts Worse Overall Survival: A Potential Therapeutic Target for non-M3 Acute Myeloid Leukemia: Erratum. Journal of Cancer, 14(7), 1159-1160. https://doi.org/10.7150/jca.85287.

ACS
Hou, Y.; Zi, J.; Ge, Z. High Expression of RhoF Predicts Worse Overall Survival: A Potential Therapeutic Target for non-M3 Acute Myeloid Leukemia: Erratum. J. Cancer 2023, 14 (7), 1159-1160. DOI: 10.7150/jca.85287.

NLM
Hou Y, Zi J, Ge Z. High Expression of RhoF Predicts Worse Overall Survival: A Potential Therapeutic Target for non-M3 Acute Myeloid Leukemia: Erratum. J Cancer 2023; 14(7):1159-1160. doi:10.7150/jca.85287. https://www.jcancer.org/v14p1159.htm

CSE
Hou Y, Zi J, Ge Z. 2023. High Expression of RhoF Predicts Worse Overall Survival: A Potential Therapeutic Target for non-M3 Acute Myeloid Leukemia: Erratum. J Cancer. 14(7):1159-1160.

This is an open access article distributed under the terms of the Creative Commons Attribution License (https://creativecommons.org/licenses/by/4.0/). See http://ivyspring.com/terms for full terms and conditions.
Popup Image