Front cover

◂ Last issue Next issue ▸ Archive Cover PDF   

Volume 14 (12); 2023

Research Papers

Graphic abstract

Analysis of Erythrocyte Sedimentation Rate Order in Epithelial Ovarian Cancer Ngadikun, Heru Pradjatmo, Kuncoro Asih Nugroho, Metamalik Pasala, Prasetyastuti J. Cancer 2023; 14(12): 2173-2180. doi:10.7150/jca.82941 Full text PDF PubMed PMC


Graphic abstract

TLR4 predicts patient prognosis and immunotherapy efficacy in clear cell renal cell carcinoma Zhentao Zhang, Shuo Wang, Ye Lu, Demeng Xia, Ying Liu J. Cancer 2023; 14(12): 2181-2197. doi:10.7150/jca.84502 Full text PDF PubMed PMC


Graphic abstract

Diagnostic value of aberrant decreased 5-Methylcytosine RNA modification in leukocytes for non-small cell lung cancer Mao Huang, Liang Ming, Hongbo Jiang, Ping Jiang, Xi Jiang, Haofan Yin, Honghai Hong J. Cancer 2023; 14(12): 2198-2208. doi:10.7150/jca.85681 Full text PDF PubMed PMC


Graphic abstract

A Novel Prognostic Signature of comprising Nine NK Cell signatures Based on Both Bulk RNA Sequencing and Single-Cell RNA Sequencing for Hepatocellular Carcinoma Qi Yu, Xuefeng Shi, Hongjian Wang, Shun Zhang, Songnian Hu, Ting Cai J. Cancer 2023; 14(12): 2209-2223. doi:10.7150/jca.85873 Full text PDF PubMed PMC


Graphic abstract

KMU-191 Induces Apoptosis in Human Clear Cell Renal Cell Carcinoma Caki Cells Through Modulation of Bcl-xL, Mcl-1 (L), c-FLIP (L), and p53 Proteins Shin Kim, Dong Eun Kim, Hyunsu Kang, Victor Sukbong Hong, Jieun Jeon, Jinho Lee, Ki-Suk Kim, Jong-Wook Park J. Cancer 2023; 14(12): 2224-2235. doi:10.7150/jca.85650 Full text PDF PubMed PMC


Graphic abstract

QiLing Decoction promotes ferroptosis of castration-resistant prostate cancer cells by inhibiting FSP1 in vitro and in vivo Hongwen Cao, Xiaotong Wu, Renjie Gao, Lei Chen, Yigeng Feng, Dan Wang J. Cancer 2023; 14(12): 2236-2245. doi:10.7150/jca.84363 Full text PDF PubMed PMC


Graphic abstract

Zhoushi Qiling decoction inhibits proliferation of human prostate cancer cells through IL6/STAT3 pathway Hongwen Cao, Yigeng Feng, Peng Sun, Lei Chen, Dan Wang, Renjie Gao J. Cancer 2023; 14(12): 2246-2254. doi:10.7150/jca.84943 Full text PDF PubMed PMC


Graphic abstract

ALDOB plays a tumor-suppressive role by inhibiting AKT activation in gastric cancer Chaozhong Peng, Xuan Yang, Xiao Li, Zhixue Ye, Jiangming Wang, Wenqing Wu J. Cancer 2023; 14(12): 2255-2262. doi:10.7150/jca.83456 Full text PDF PubMed PMC


Graphic abstract

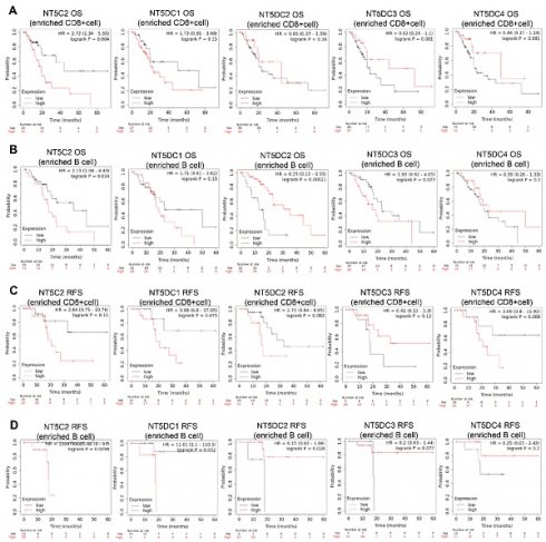
The NT5DC family: expression profile and prognostic value in pancreatic adenocarcinoma Xiaoqian Yu, Ru Sun, Xuejie Yang, Xiaoyun He, Hongbin Guo, Chunlin Ou J. Cancer 2023; 14(12): 2274-2288. doi:10.7150/jca.85811 Full text PDF PubMed PMC


Graphic abstract

FOXP1-GINS1 axis promotes DLBCL proliferation and directs doxorubicin resistance Zhenfa Chen, Ting Wang, Cui Li, Wei Zhang, Wenbin Huang, Jun Xue, Jundong Wang, Shufeng Li J. Cancer 2023; 14(12): 2289-2300. doi:10.7150/jca.85906 Full text PDF PubMed PMC


Graphic abstract

High SGO2 predicted poor prognosis and high therapeutic value of lung adenocarcinoma and promoted cell proliferation, migration, invasion, and epithelial-to-mesenchymal transformation Zuotao Wu, Ting Zhuo, Zihao Li, Yongjie Zhu, Jiejing Wu, Guanbiao Liang, Lei Dai, Yongyong Wang, Xiang Tan, Mingwu Chen J. Cancer 2023; 14(12): 2301-2314. doi:10.7150/jca.86285 Full text PDF PubMed PMC


Graphic abstract

LncRNA HOTAIR Enhances Epithelial-to-mesenchymal Transition to Promote the Migration and Invasion of Liver Cancer by Regulating NUAK1 via Epigenetic Inhibition miR-145-5p Expression Dong-xia Chu, Yu Jin, Bing-rong Wang, Yan Jiao, Chao-ke Zhang, Zi-han Guo, Shao-zhuo Hu, Na Li J. Cancer 2023; 14(12): 2329-2343. doi:10.7150/jca.85335 Full text PDF PubMed PMC


Graphic abstract

Low RCAN1.2 mRNA Expression Is Associated with Poor Prognosis of Patients with Esophageal Squamous Cell Carcinoma Haijun Yang, Jiahuan Zhou, Keyao He, Junkuo Li, Fang Zhao, Ningtao Dai, Shouxin Wu, Wushuang Li, Jiangman Zhao, Yaowen Zhang, Fuyou Zhou J. Cancer 2023; 14(12): 2361-2372. doi:10.7150/jca.84307 Full text PDF PubMed PMC


Graphic abstract

Genome-wide RNA-sequencing dataset reveals AC096751.1 sever as a novel prognostic long non-coding RNA and its potential molecular mechanisms in patients with colon adenocarcinoma Cun Liao, Zhiwen Gu, Wei Huang, Yizhen Gong, Xiwen Liao, Minglin Lin, Sen Zhang J. Cancer 2023; 14(12): 2386-2398. doi:10.7150/jca.83424 Full text PDF PubMed PMC

Reviews

Graphic abstract

Combined Use of Immune Checkpoint Inhibitors and Phytochemicals as a Novel Therapeutic Strategy against Cancer LingJie Luo, Caiji Lin, Pengfei Wang, Danli Cao, Yiru Lin, Wenxue Wang, Yufan Zhao, Yongwei Shi, Zixiang Gao, Xin Kang, Yuanyuan Zhang, Shuang Wang, Jiaxing Wang, Mengzhi Xu, Huidi Liu, Shu-Lin Liu J. Cancer 2023; 14(12): 2315-2328. doi:10.7150/jca.85966 Full text PDF PubMed PMC


Graphic abstract

The Role of Cathepsin B in Pathophysiologies of Non-tumor and Tumor tissues: A Systematic Review Jiangping Wang, Minying Zheng, Xiaohui Yang, Xinyue Zhou, Shiwu Zhang J. Cancer 2023; 14(12): 2344-2358. doi:10.7150/jca.86531 Full text PDF PubMed PMC


Graphic abstract

Comparative Efficacy and Safety of Chinese Patent Medicines for Cervical High-risk Human Papillomavirus Infection: A Bayesian Network Meta-analysis Chengli Bin, Hanzhi Zhong, Jing Mo, Zhenyi Wang, Maoya Li, Shaobin Wei J. Cancer 2023; 14(12): 2373-2385. doi:10.7150/jca.86043 Full text PDF PubMed PMC

Erratum

Zinc-α2-glycoprotein 1 promotes EMT in colorectal cancer by filamin A mediated focal adhesion pathway: Erratum Meiling Ji, Wenxiang Li, Guodong He, Dexiang Zhu, Shixu Lv, Wentao Tang, Mi Jian, Peng Zheng, Liangliang Yang, Zhipeng Qi, Yihao Mao, Li Ren, Yunshi Zhong, Yongjiu Tu, Ye Wei, Jianmin Xu J. Cancer 2023; 14(12): 2359-2360. doi:10.7150/jca.87171 Full text PDF PubMed PMC

Popup Image